(dott. Andrea Codato, DVM)
In questa e nei prossimi interventi non tratteremo l’argomento "Micotossine" sotto forma di un semplice elenco scolastico, ma approfondiremo alcuni aspetti delle micotossicosi, intese come malattie, partendo dai principali sintomi che ne contraddistinguono l’attività.
I sintomi enterici, vomito e diarrea in particolare, sono quelli più comuni e ad una prima visita in allevamento, ci fanno pensare ad una lunga serie di cause e fattori predisponenti, di natura infettiva (virale, batterica, parassitaria) o non infettiva (nutrizionale, management, qualità aria e dell’acqua).
Alcune micotossine possono essere le responsabili di sintomatologie più o meno gravi a carico dell’apparato gastroenterico: la Fumonisine, gli alcalodi dell’Ergot (Ergotismo) e soprattutto i metaboliti della famiglia dei Tricoteceni.
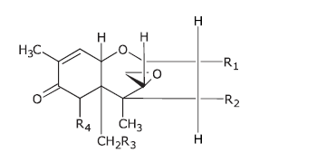
I Tricoteceni sono una famiglia di più di 200 composti correlati strutturalmente.

Figura 1: struttura dei Tricoceni di tipo A

Figura 2: struttura dei Tricoceni di tipo B
Sono principalmente prodotti dai funghi della specie “Fusarium” (Pestka, 2010) o dalle specie “Stacybotrys" e "Myrothecium”; la maggior parte di quelli prodotti dalla famiglia Fusarium si dividono in due gruppi:
1. Tricoteceni di Tipo A: come il T-2 toxin, HT-2 toxin, che si differenziano per un gruppo chetonico in posizione C-8
2. Tricoteceni del Tipo B, come il deosiinivalenolo e alcuni suoi metaboliti, il 15-acetildeossinivalenolo, il nivalenolo , che contengono invece, in posizione C-8, un gruppo carbossilico.
Il Deossinivalenolo, comunemente chiamato DON o “Vomito tossina” è quello più conosciuto, analizzato e studiato.
I Tricoteceni sono potenti inibitori della biosintesi proteica; alcuni loro gruppi funzionali si legano alle subunità ribosomiali provocando una interruzione della fase di biosintesi, seguita da una secondaria interruzione della sintesi di DNA e RNA. Il danno ribosomiale scatena una serie di stress risposte (Pestka et al. 2010, 2007, 2004) che portano ad una attivazione di un processo infiammatorio citochinico, con apoptosi e effetti immunotossici.

Figura 3: Meccanismo di azione del DON
Essi hanno una forte attività citotossica, con lisi e inibizione della mitosi; per questo motivo sono tossici per i tessuti ad alta frequenza di divisione cellulare e per i tessuti linfoidi.
L’assorbimento del DON avviene molto rapidamente attraverso il tratto digestivo e trasportato a vari organi ne troviamo residui nei tessuti del suino anche a bassi livelli (Doll et al., 2008; Goyarts et al., 2007). Associare una micotossina ad un singolo sintomo o ad un singolo organo è fuorviante; ad esempio, i Tricoteceni provocano danni gravi anche sul sistema immunitario, riproduttivo e nervoso.
Il sintomo più comune è sicuramente il vomito, spesso associato a diarrea, riduzione dell’appetito e degli accrescimenti. Sembra che il suino sia la specie più suscettibile all’azione del DON, probabilmente perché non possiede in quantità sufficiente i trasportatori transmembrana ABC (ATP-binding cassette), che trasportano verso l’esterno sostanze dannose come i metaboliti fungini in questione.
Ma quale è il suo meccanismo di azione?
Molti studi riportano come bassi livelli di DON causino anoressia, mentre livelli più alti il vomito. La sua azione avviene a livello del sistema nervoso centrale (Gaige et al 2013; Girardet et al, 2011)

Figura 4: Vomito indotto da contaminazione da DON;(prof Maximilian Shuh, University of Veterinary Medicine, Vienna, Austria)
Il Don agisce su alcuni neurotrasmettitori a livello ipotalamico; Alcuni studi hanno dimostrato come la somministrazione di DON alteri la concentrazione di Neuro Epinefrina, di Dopamina e i livelli di 5HT (Carpenter et al. 1983; Schwartz et al. 1986); La dopamina, un emetico di per sé, sembra avere il maggiore coinvolgimento nell'innesco del riflesso emetico.
Ulteriori ricerche hanno indicato come il DON riduca l'assunzione di cibo nei suini modificando i livelli locali di serotonina, riducendo così l’attività peristaltica intestinale e aumentando la segnalazione della sazietà. Il rifiuto del cibo funge da risposta protettiva contro l'avvelenamento alimentare.
Il meccanismo preciso alla base dell'anoressia e del vomito indotti dal DON non è stato ancora completamente chiarito, ma sicuramente interviene un’interazione tra il sistema nervoso centrale e il sistema immunitario, interconnessi attraverso l'asse intestino-cervello (Plata-Salamán 2001).
Recenti ricerche hanno dimostrato che l'esposizione al DON anche a bassi livelli comporta atrofia dei villi digiunali e aumento della profondità delle cripte. Queste alterazioni influenzano l'assorbimento e l'utilizzo dei nutrienti nell'ambiente dell'intestino tenue (Liao et al. 2020; Zha et al. 2020).
Studi precedenti hanno dimostrato la capacità del DON di ridurre anche il numero di cellule caliciformi intestinali (cellule che hanno la capacità di sintetizzare ed espellere muco, proteggendo così le cellule epiteliali) , compromettendo l'integrità della barriera mucosa e inducendo lesioni intestinali nei suinetti (Qiu et al. 2021).
Le evidenze scientifiche suggeriscono che il DON agisca riducendo l’espressione delle proteine (in particolare delle occludine e claudine) che costituiscono la famiglia delle Thigh Junction e induca l'apoptosi nelle cellule endoteliali intracellulari (EIC) (Zhou et al. 2019; Xu et al. 2020)
Per quanto riguarda l’azione delle Fumonisine sull’apparato gastro intestinale, Oswald et al., 2003 hanno dimostrato come questa micotossina, anche a dosaggi non elevati, abbia un effetto dannoso sull’epitelio intestinale in combinazione con la presenza di ceppi di E. Coli, favorendo la colonizzazione del patogeno a livello intestinale.
La Fumonisina B1, in particolare, inibisce il metabolismo degli sfingolipidi, che sono i componenti essenziali delle membrane delle cellule eucariotiche e agiscono come recettori di membrana per batteri e tossine batteriche.
Anche gli Alcaloidi dell’Ergot possono causare il vomito, agendo come agonisti e antagonisti parziali dei recettori α-adrenergici, dopaminamerergici e serotinergici.

Figura 5: Suinetto con diarrea(contaminazione con ZEN, DON e FUM. (DVM Everson Zotti, Sanphar Saude Animal Ltda, Brazil)
Un concetto importante che vale per tutte le micotossine è quello che la loro esposizione può influenzare la proliferazione e l’azione di alcuni patogeni, tra cui batteri, virus e parassiti. Le micotossine producono tossicità e distruggono l'integrità della barriera mucosale; inoltre riducono l'attività di alcune specifiche cellule immunitarie e inducono immunosoppressione, con conseguente riduzione della resistenza dell'ospite.